반응형
Notice
Recent Posts
Recent Comments
Link
| 일 | 월 | 화 | 수 | 목 | 금 | 토 |
|---|---|---|---|---|---|---|
| 1 | 2 | 3 | 4 | 5 | 6 | |
| 7 | 8 | 9 | 10 | 11 | 12 | 13 |
| 14 | 15 | 16 | 17 | 18 | 19 | 20 |
| 21 | 22 | 23 | 24 | 25 | 26 | 27 |
| 28 | 29 | 30 | 31 |
Tags
- 영어회화
- 백준
- 스피치 연습
- Problem Set 1.4
- homogeneous
- Problem set 1.5
- 공수1
- Problem set 2.7
- 비제차 상미분 방정식
- 미방
- Advanced Engineering Mathematics
- Ode
- ODEs
- 공수
- Conversation
- kreyszig
- 코딩테스트
- Nonhomogeneous ODEs
- 공수 문제풀이
- English
- speech
- Python
- Homogeneous ODEs
- 삼성SW역량테스트
- 공학수학
- 미분방정식
- 문제풀이
- vocabulary
- 공업수학
- SW역량테스트
Archives
- Today
- Total
한걸음
Advanced Engineering Math. Problem set 1.4 : 13 ~ 15 본문
Engineering/Archive
Advanced Engineering Math. Problem set 1.4 : 13 ~ 15
우당탕탕 할 수 있다!!! 2023. 10. 24. 14:40반응형
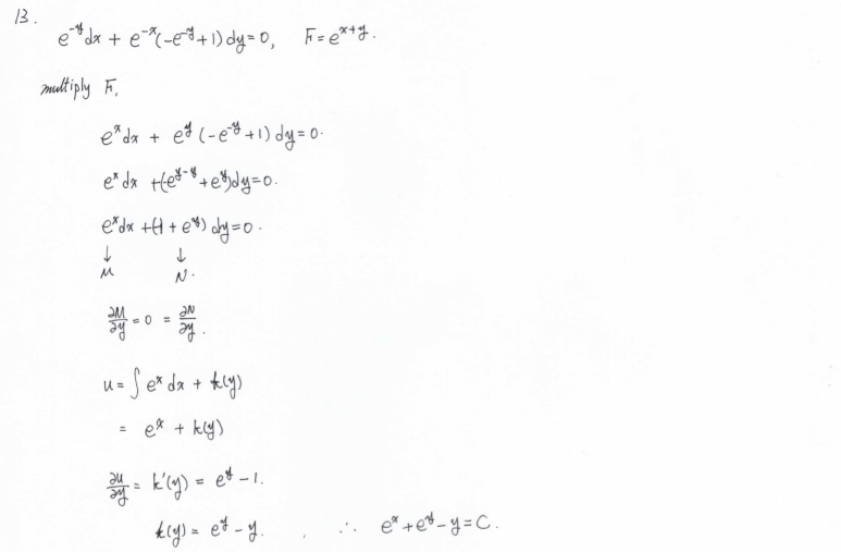
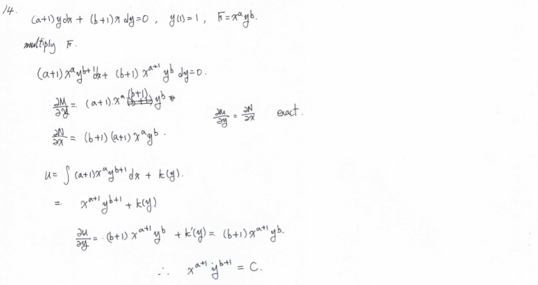
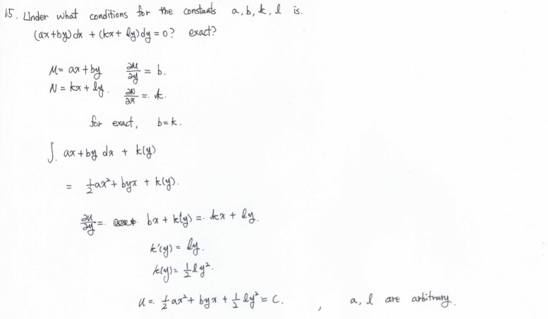
문제 : Exactness를 확인하라, Exact 한 경우 풀어라. 그렇지 않다면 주어진 Integrating Factor를 사용하거나, 주어지지 않은 경우에는 Factor를 구해서 문제를 풀어라. 또한, 초기조건이 주어진 경우 Particular 해를 구해라.
우리가 적분을 하게되면 Arbitrary 한 C에 대한 해, General Solution을 얻게 된다. 초기조건이 주어지는 경우 Particular 해가 됨을 명심하자. 수학의 가장 기본은 정의를 정확하게 외우고 있어야 하는 것이다.
1.4절 문제풀이 완료. 이제 1.5절로 넘어가자!
※ 수식작성 연습 좀 해볼까... 손으로 계속 푸니까 손 아프네.
Problem 13

Problem 14

Problem 15

반응형
'Engineering > Archive' 카테고리의 다른 글
| Advanced Engineering Math. Problem set 1.5 : 5 ~ 7 (0) | 2023.10.31 |
|---|---|
| Advanced Engineering Math. Problem set 1.5 : 2 ~ 4 (1) | 2023.10.30 |
| Advanced Engineering Math. Problem set 1.4 : 1 ~ 3 (0) | 2023.10.27 |
| Advanced Engineering Math. Problem set 1.4 : 10 ~ 12 (0) | 2023.10.23 |
| Advanced Engineering Math. Problem set 1.4 : 7 ~ 9 (0) | 2023.10.18 |