반응형
Notice
Recent Posts
Recent Comments
Link
| 일 | 월 | 화 | 수 | 목 | 금 | 토 |
|---|---|---|---|---|---|---|
| 1 | 2 | 3 | 4 | 5 | 6 | |
| 7 | 8 | 9 | 10 | 11 | 12 | 13 |
| 14 | 15 | 16 | 17 | 18 | 19 | 20 |
| 21 | 22 | 23 | 24 | 25 | 26 | 27 |
| 28 | 29 | 30 | 31 |
Tags
- SW역량테스트
- kreyszig
- speech
- 공업수학
- Problem set 2.7
- homogeneous
- Advanced Engineering Mathematics
- Nonhomogeneous ODEs
- English
- 코딩테스트
- 스피치 연습
- 공수
- Python
- vocabulary
- 공수1
- 미분방정식
- 영어회화
- Conversation
- 미방
- 백준
- 비제차 상미분 방정식
- 공학수학
- Problem set 1.5
- Homogeneous ODEs
- Ode
- 문제풀이
- 공수 문제풀이
- ODEs
- Problem Set 1.4
- 삼성SW역량테스트
Archives
- Today
- Total
한걸음
Advanced Engineering Math. Problem set 2.7 : 10 ~ 12 본문
Engineering/Archive
Advanced Engineering Math. Problem set 2.7 : 10 ~ 12
우당탕탕 할 수 있다!!! 2023. 12. 8. 15:19반응형
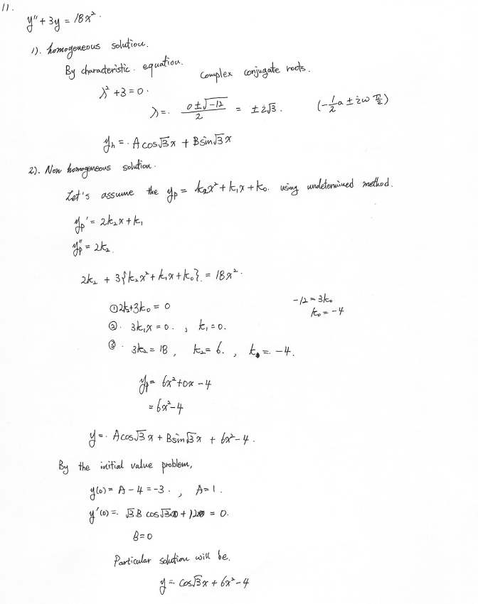
문제 풀다 보니, 너무 지저분해서 캡처해서 업로드...
Problem 10


Problem 11

Problem 12

반응형
'Engineering > Archive' 카테고리의 다른 글
| Advanced Engineering Math. Problem set 2.7 : 13 ~ 15 (0) | 2023.12.11 |
|---|---|
| Advanced Engineering Math. Problem set 2.7 : 7 ~ 9 (0) | 2023.11.30 |
| Advanced Engineering Math. Problem set 2.7 : 4 ~ 6 (0) | 2023.11.29 |
| Advanced Engineering Math. Problem set 2.7 : 1 ~ 3 (2) | 2023.11.28 |
| Advanced Engineering Math. Problem set 1.5 : 11 ~ 13 (1) | 2023.11.02 |