반응형
Notice
Recent Posts
Recent Comments
Link
| 일 | 월 | 화 | 수 | 목 | 금 | 토 |
|---|---|---|---|---|---|---|
| 1 | ||||||
| 2 | 3 | 4 | 5 | 6 | 7 | 8 |
| 9 | 10 | 11 | 12 | 13 | 14 | 15 |
| 16 | 17 | 18 | 19 | 20 | 21 | 22 |
| 23 | 24 | 25 | 26 | 27 | 28 | 29 |
| 30 |
Tags
- vocabulary
- ODEs
- 공수 문제풀이
- 문제풀이
- 백준
- 공학수학
- 공수1
- Problem set 1.5
- Nonhomogeneous ODEs
- Ode
- SW역량테스트
- kreyszig
- 삼성SW역량테스트
- English
- homogeneous
- 미분방정식
- 공수
- 공업수학
- 미방
- Homogeneous ODEs
- 스피치 연습
- Problem set 2.7
- 코딩테스트
- 비제차 상미분 방정식
- Advanced Engineering Mathematics
- speech
- Conversation
- 영어회화
- Problem Set 1.4
- Python
Archives
- Today
- Total
한걸음
Advanced Engineering Math. Problem set 2.7 : 13 ~ 15 본문
Engineering/Archive
Advanced Engineering Math. Problem set 2.7 : 13 ~ 15
우당탕탕 할 수 있다!!! 2023. 12. 11. 13:16반응형
타자 치는데 시간이 많이 소요된다.
이미지로 업로드
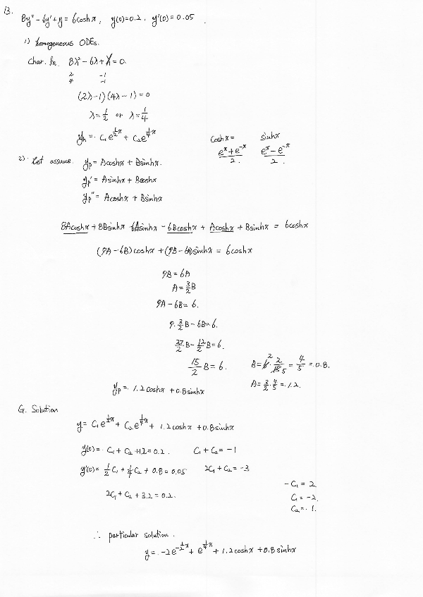
Problem 13

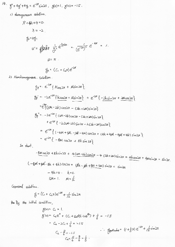
Problem 14

Problem 15

반응형
'Engineering > Archive' 카테고리의 다른 글
| Advanced Engineering Math. Problem set 2.7 : 10 ~ 12 (1) | 2023.12.08 |
|---|---|
| Advanced Engineering Math. Problem set 2.7 : 7 ~ 9 (0) | 2023.11.30 |
| Advanced Engineering Math. Problem set 2.7 : 4 ~ 6 (0) | 2023.11.29 |
| Advanced Engineering Math. Problem set 2.7 : 1 ~ 3 (2) | 2023.11.28 |
| Advanced Engineering Math. Problem set 1.5 : 11 ~ 13 (1) | 2023.11.02 |